Carta De Aviso Ley Laboral

Carta de aviso, carta de aviso previo, carta de aviso de desalojo, carta de aviso de despedida, carta de aviso para empleados, carta de aviso para desocupar vivienda, carta de aviso de 30 dias para mudarse, carta de mocambique, carta de pan, carta de amor, carta de retiro, carta de prestamo, carta de autorizacion, carta de presentacion, carta de recomendacion personal, carta de convite exemplo, carta de renuncia ejemplo, carta de recomendacao profissional, carta de antecedentes no penales, carta de recomendacion en ingles, carta de compra y venta, carta de recomendacion para residencia, carta de recomendacion para inmigracion, carta de compromiso de pago, carta de luto chalino sanchez,


Derecho Laboral I via es.slideshare.net
Derecho laboral i

Suspensión Del Contrato Laboral Y Norma Aplicable via es.slideshare.net
Suspensión del Contrato Laboral y Norma Aplicable

Software Para Imprimir Cartas Documento Y Telegramas via bibliolex.wordpress.com
Software para imprimir Cartas Documento y Telegramas

Ejemplo De Letra De Cambio via www.ejemplode.com
Ejemplo de Letra de cambio

Resultados Buscador Bopa - Gobierno Del Principado De Asturias via sede.asturias.es
Resultados Buscador BOPA - Gobierno del Principado de Asturias

Modelos De Telegramas Y Notificaciones Laborales via escritolaboral.blogspot.com
MODELOS DE TELEGRAMAS Y NOTIFICACIONES LABORALES

Terminacion Del Contrato De Trabajo via es.slideshare.net
Terminacion del contrato de trabajo

Carta De Solicitud Reunion - U Carta De via ucartade.blogspot.com
Carta De Solicitud Reunion - u Carta De

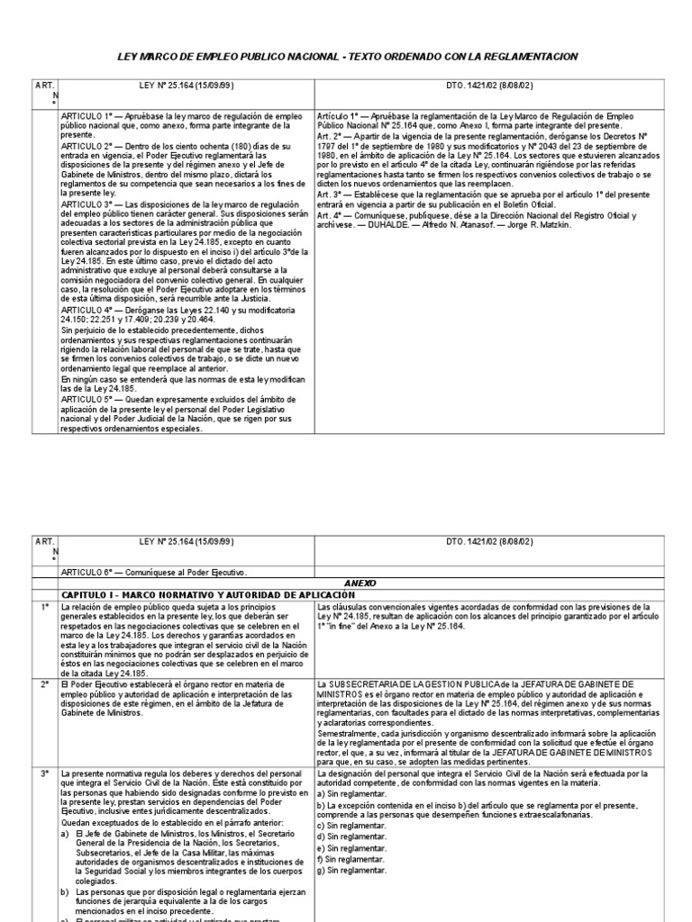
25164 - Texto Y Reglamentacion - Empleo Publico via es.scribd.com
25164 - Texto y Reglamentacion - Empleo Publico

Certificado De Vigencia De Contrato via es.scribd.com
Certificado de Vigencia de Contrato

Carta Ciudadanos Municipio via www.slideshare.net
Carta ciudadanos municipio

Formato Solicitud De Permiso via formato-solicitud.com
Formato solicitud de permiso

Horror En Mar Del Plata: Identificaron El Cuerpo Que via infobrisas.com
Horror en Mar del Plata: Identificaron el cuerpo que


Random Image



Related Posts To Carta De Aviso Ley Laboral


Carta De Aviso Ley Laboral Rating: 4.5 Posted by: lianasrwn

Search Here

Popular Posts

Total Pageviews

Recent Posts

Partners